Application of carbofuran propylthio_Kain Industrial Additives

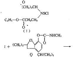
Background and overview[1][2] Benfuracarb is also calle…

Contact Us

Contact us

+86 - 152 2121 6908

Online consultation: QQ交谈

E-mail: info@newtopchem.com

Working hours: Monday to Friday, 9:00-17:30, closed on holidays
Follow wechat
Scan wechat and follow us

Scan wechat and follow us

Follow Weibo
Back to top
Home
Phone
Products
Search