
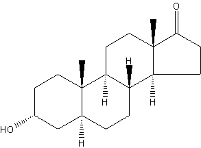
Structural formula
| Business number | 015Z | 
|---|---|
| Molecular formula | C19H30O2 | 
| Molecular weight | 290.44 | 
| label | 
 Androsterone, androstenone, 3α-hydroxy-5α-androstane-17-one, 5α-androstane-3A-ol-17-one, androsterone, cis-ketolated sterols, cis-androgenone, cis-androsterone, androsterone, 3α-Hydroxy-5α-androstan-17-one, 5α-Androstan-3α-ol-17-one  | 
Numbering system
CAS number:53-41-8
MDL number:MFCD00003618
EINECS number:200-173-4
RTECS number:BV8053000
BRN number:2217626
PubChem number:24869692
Physical property data
1. Character:White crystal or powder. Odorless. Sublime in a vacuum. Not precipitated by digitonin.
2. Density ( g/mL,25/4℃): Undetermined
3. Relative vapor density (g/mL,Air=1): Undetermined
4. Melting point ( ºC): 185~185.5
5. Boiling point ( ºC,Normal pressure): Undetermined
6. Boiling point ( ºC,5.2kPa): Undetermined
7. Refractive index: Undetermined
8. Flashpoint (ºC): Undetermined
9. Specific optical rotation (º): +94.6° (C=0.7, in anhydrous ethanol),[α]D15 +87.8°(C=1.5, in dioxane).
10. Autoignition point or ignition temperature (ºC): Undetermined
11. Vapor pressure (kPa,25ºC): Undetermined
12. Saturation vapor pressure (kPa,60ºC): Undetermined
13. heat of combustion (KJ/mol): Undetermined
14. Critical temperature (ºC): Undetermined
15. Critical pressure (KPa) : Undetermined
16. Oil and water (octanol/Water) partition coefficient pair Value: Undetermined
17. Explosion limit (%,V/V): Not OK
18. Lower explosion limit (%,V/V): Not OK
19. Solubility :Soluble in most organic solvents ,Insoluble in water.
Toxicological data
1, reproductive toxicity: male rats subcutaneously TDLo: 8400ug/kg, 21 days before mating; intramuscular TDLo in female rats: 80mg/kg, 13-20 days later to conceive
Ecological data
None yet
Molecular structure data
1. Molar refractive index: 83.49
2. Molar volume (m3/mol):267.6
3. isotonic ratio(90.2K):677.7
4. Surface Tension(dyne/cm):41.1
5. Polarizability(10-24cm3):33.10
Compute chemical data
1. Reference value for hydrophobic parameter calculation (XlogP): None
2. Number of hydrogen bond donors: 1
3. Number of hydrogen bond acceptors: 2
4. Number of rotatable chemical bonds: 0
5. Number of tautomers: 2
6. Topological molecule polar surface area 37.3
7. Number of heavy atoms: 21
8. Surface charge: 0
9. Complexity: 459
10. Number of isotope atoms: 0
11. Determine the atomsNumber of stereocenters: 7
12. Number of uncertain atomic stereocenters: 0
13. Determined number of stereocenters of chemical bonds: 0
14 .The number of uncertain chemical bond stereocenters: 0
15. The number of covalent bond units: 1
Properties and stability
None yet
Storage method
This product should be kept sealed.
Synthesis method
None yet
Purpose
Biochemical research . Androgens and anabolic hormones.
extended-reading:https://www.cyclohexylamine.net/catalyst-dabco-8154-acid-blocked-tertiary-amine-catalyst/extended-reading:https://www.bdmaee.net/polycat-46-pc-cat-tka-catalyst-polycat-46/extended-reading:https://www.bdmaee.net/wp-content/uploads/2022/08/-DC1-delayed-catalyst–DC1-delayed-strong-gel-catalyst–DC1.pdfextended-reading:https://www.bdmaee.net/dmaee/extended-reading:https://www.newtopchem.com/archives/38913extended-reading:https://www.cyclohexylamine.net/cas-33568-99-9-dioctyl-dimaleate-di-n-octyl-tin/extended-reading:https://www.newtopchem.com/archives/category/products/page/131extended-reading:https://www.newtopchem.com/archives/40234extended-reading:https://www.newtopchem.com/archives/44183extended-reading:https://www.cyclohexylamine.net/cas-23850-94-4-butyltin-tris2-ethylhexanoate/



			    	微信扫一扫打赏
			    