The website of the Ministry of Commerce issued an announcement on August 14. According to the “Anti-dumping Regulations of the People’s Republic of China” (hereinafter referred to as the “Anti-dumping Regulations”), on November 30, 2022, the Ministry of Commerce (hereinafter referred to as the investigation authority) issued the 2022 No. 35 Announcement, decided to initiate an anti-dumping investigation on imports of polycarbonate originating in Taiwan (hereinafter referred to as the product under investigation).
Announcement No. 30 of 2023 of the Ministry of Commerce on the Preliminary Ruling of the Anti-dumping Investigation of Imports of Polycarbonate Originating in Taiwan
【Publisher】Trade Remedy Bureau
[Issuing Document Number] Ministry of Commerce Announcement No. 30 of 2023
【Date of publication】August 14, 2023
According to the “Anti-dumping Regulations of the People’s Republic of China” (hereinafter referred to as the “Anti-dumping Regulations”), on November 30, 2022, the Ministry of Commerce (hereinafter referred to as the “Investigation Authority”) issued Announcement No. Imported polycarbonate (hereinafter referred to as the product under investigation) is subject to anti-dumping investigation.
The investigation agency conducted an investigation on whether there was dumping and dumping margin of the product under investigation, whether the product under investigation caused damage to the mainland polycarbonate industry and the extent of the damage, as well as the causal relationship between dumping and damage. According to the investigation results and the provisions of Article 24 of the Anti-dumping Regulations, the investigation agency made a preliminary ruling. The relevant matters are hereby announced as follows:
1. Preliminary ruling
The investigation agency preliminarily determined that there was dumping of the product under investigation, the mainland polycarbonate industry was substantially damaged, and there was a causal relationship between the dumping and the substantial damage.
Second, collection of security deposit
According to the provisions of Articles 28 and 29 of the Anti-dumping Regulations, the investigation agency decided to implement temporary anti-dumping measures in the form of deposits. From August 15, 2023, when importing products under investigation produced by various companies, import operators shall provide corresponding deposits to the Customs of the People’s Republic of China in accordance with the deposit ratios of each company determined in this preliminary ruling.
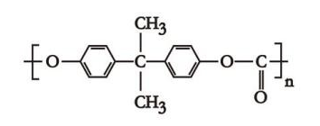
The specific description of the product under investigation is as follows:
Scope of investigation: imported polycarbonate originating in Taiwan.
Name of the product under investigation: polycarbonate.
English name: Polycarbonate, referred to as PC.
Structural formula:
Physical and chemical characteristics: The product under investigation is a high molecular polymer with a bisphenol A carbonate group structure in the main chain of the molecule. The appearance is usually transparent cylindrical or spherical particles or solid powder. High light rate, good heat resistance and cold resistance.
Main uses: Polycarbonate can be used in many fields such as electronic appliances, sheets/films, automobiles, optics, packaging, medical equipment, and safety protection.
This product is included in the “People’s Republic of China Import and Export Tariff”: 39074000. Products under this tariff number with a bisphenol A polycarbonate content of less than 99% by weight are not within the scope of the products under investigation.
The margin ratios imposed on companies in Taiwan are as follows:
1. Taiwan Chemical Fiber Co., Ltd. 16.9%
(FORMOSA CHEMICALS & FIBER CORP.)
2. Taiwan Idemitsu Petrochemical Co., Ltd. 16.9%
(IDEMITSU CHEMICALS TAIWAN CORPORATION)
3. Chi Mei Industrial Co., Ltd. 17.0%
(CHIMEI CORPORATION)
4. Qiling Technology Co., Ltd. 17.0%
(CHILIN TECHNOLOGY CO.,LTD.)
5. Other Taiwan companies 22.4%
Third, the method of deposit collection
From August 15, 2023, when importing polycarbonate originating in Taiwan, import operators should provide corresponding deposits to the Customs of the People’s Republic of China in accordance with the deposit ratios of each company determined in this preliminary ruling. The deposit is levied ad valorem based on the duty-paid price approved by the customs, and the calculation formula is: deposit amount = (duty-paid price approved by the customs × rate of deposit collection) × (1+ import value-added tax rate).



微信扫一扫打赏
