
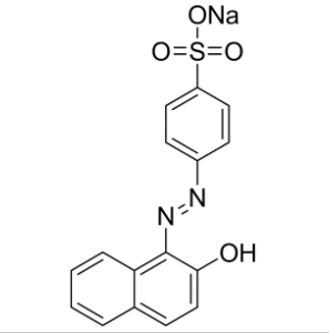
| English name: | Acid Orange 7 | ||
| Common aliases: | Sodium 2-naphthol azo p-benzenesulfonate IND; Orange II; Acid Orange II; Acid Golden II; β-Naphthol Orange; No. 2 Orange; Golden Orange II | ||
| CAS number: | 633-96-5 | Boiling point: | N/A |
| MDL number: | N/A | Melting point: | 164°C |
| Molecular formula: | C16H11N2NaO4S | Flash point: | N/A |
| Molecular weight: | 350.32 | Density: | N/A |
| Physical and chemical properties: | N/A | Storage conditions: | Avoid light, store in a cool and dry place, sealed |



微信扫一扫打赏
