
Structural formula
| Business number | 027Z |
|---|---|
| Molecular formula | C7H7NO2 |
| Molecular weight | 137.14 |
| label |
salicylaldehyde oxime, 2-Hydroxybenzaldehyde oxime, salicylaldoxime, Benzaldehyde, 2-hydroxybenzaldehyde oxime, 2-hydroxybenzaldoxime, Reagent |
Numbering system
CAS number:94-67-7
MDL number:MFCD00002120
EINECS number:202-353-8
RTECS number:VN5775000
BRN number:1859881
PubChem number:24888183
Physical property data
1. Properties: White prismatic crystals.
2. Density (g/mL, 20℃): Undetermined
3. Relative vapor density (g/mL, air=1): Undetermined
4. Melting point (ºC): 57
5. Boiling point (ºC, normal pressure): Undetermined
6. Boiling point (ºC, 10mmHg): Undetermined
7. Refractive index: Undetermined
8. Flash point (ºC): Undetermined
9. Specific rotation (º): Undetermined
10. Autoignition point or ignition temperature (ºC): Undetermined
11. Vapor pressure (mmHg, 85ºC): Undetermined
12. Saturated vapor pressure (kPa , ºC): Undetermined
13. Heat of combustion (KJ/mol): Undetermined
14. Critical temperature (ºC): Undetermined
15 . Critical pressure (KPa): Undetermined
16. Log value of oil-water (octanol/water) distribution coefficient: Undetermined
17. Explosion upper limit (%, V/V ): Undetermined
18. Lower explosion limit (%, V/V): Undetermined
19. Solubility: Easily soluble in alcohol, ether, benzene and dilute hydrochloric acid, soluble in In hot water, slightly soluble in cold water, insoluble in petroleum ether.
Toxicological data
1. Acute toxicity: Rat oral LDLo: 400mg/kg;
Ecological data
Slightly harmful to water.
Molecular structure data
1. Molar refractive index: 37.01
2. Molar volume (cm3/mol): 115.8
3. Isotonic specific volume (90.2K ): 300.9
4. Surface tension (dyne/cm): 45.5
5. Polarizability (10-24cm3): 14.67
Compute chemical data
1. Hydrophobic parameter calculation reference value (XlogP): 1.4
2. Number of hydrogen bond donors: 2
3. Number of hydrogen bond acceptors: 3
4. Number of rotatable chemical bonds: 1
5. Number of tautomers: 5
6. Topological molecular polar surface area (TPSA): 49.3
7. Number of heavy atoms: 10
8. Surface charge: 0
9. Complexity: 226
10. Number of isotope atoms: 0
11. Determine the number of atomic stereocenters: 0
12. The number of uncertain atomic stereocenters: 0
13. The number of determined chemical bond stereocenters: 1
14. Uncertain chemical bond stereocenters Quantity: 0
15. Quantity of covalent bond units: 1
Properties and stability
Avoid contact with oxides and acidic substances.
Storage method
Store sealed in a cool, dry place. Make sure the workspace has good ventilation. Keep away from fire sources and store away from oxidants and acidic substances.
Synthesis method
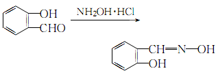
1. Dissolve salicylaldehyde in sodium hydroxide solution and add hydroxylamine hydrochloride. The mixture was heated on a water bath for half an hour and made neutral with glacial acetic acid. Cool in an ice bath and precipitate salicylaldehyde oxime. After recrystallization from benzene, and then recrystallization from petroleum ether containing a small amount of benzene, the finished product is obtained.
Purpose
1. Organic sensitive reagent for photometric determination of copper (II), iron (III), molybdenum (VI), and nickel (II). Precipitating agent or extraction separation agent for copper, nickel, lead, palladium, cadmium, mercury, bismuth, vanadium, osmium/gold/uranium/iron/cobalt, manganese, zinc, etc.



微信扫一扫打赏
