
Structural formula
| Business number | 01L6 |
|---|---|
| Molecular formula | C21H14Br4O5S |
| Molecular weight | 698.02 |
| label |
Tetrabromo-m-cresolsulfonolphthalein, bromocresol blue, Tetrabromocresolsulfonphthalein, Bromocresol blue, 3,3′,5,5′-Tetrabromo-m-cresolsulfonphthalein, Bromocresol blue, 3,3′,5,5′-Tetrabromo-m-cresolsulphthalein, Acid-base indicator |
Numbering system
CAS number:76-60-8
MDL number:MFCD00005874
EINECS number:200-972-8
RTECS number:SJ7456000
BRN number:372527
PubChem number:24847166
Physical property data
1. Properties: white or slightly yellow crystal.
2. Density (g/mL, 25/4℃): Undetermined
3. Relative vapor density (g/mL, air=1): Undetermined
4. Melting point (ºC): 218~219
5. Boiling point (ºC, normal pressure): Undetermined
6. Boiling point (ºC, 5.2kPa): Undetermined
7. Refractive index: Undetermined
8. Flash point (ºC): Undetermined
9. Specific rotation (º): Undetermined Determined
10. Autoignition point or ignition temperature (ºC): Not determined
11. Vapor pressure (kPa, 25ºC): Not determined
12. Saturated vapor pressure (kPa, 60ºC): Undetermined
13. Heat of combustion (KJ/mol): Undetermined
14. Critical temperature (ºC): Undetermined
15. Critical pressure (KPa): Undetermined
16. Log value of oil-water (octanol/water) partition coefficient: Undetermined
17. Explosion upper limit ( %, V/V): Undetermined
18. Lower explosion limit (%, V/V): Undetermined
19. Solubility: Easily soluble in ethanol, ether and acetic acid Ethyl ester, soluble in benzene, slightly soluble in water. Insoluble in ether.
Toxicological data
None yet
Ecological data
None yet
Molecular structure data
1. Molar refractive index: 132.51
2. Molar volume (cm3/mol): 337.0
3. Isotonic specific volume (90.2K ): 969.0
4. Surface tension (dyne/cm): 68.3
5. Polarizability (10-24cm3): 52.53
Computational ChemistryData
1. Reference value for hydrophobic parameter calculation (XlogP): None
2. Number of hydrogen bond donors: 2
3. Number of hydrogen bond acceptors: 5
4. Number of rotatable chemical bonds: 2
5. Number of tautomers: 45
6. Topological molecule polar surface area 92.2
7. Number of heavy atoms: 31
8. Surface charge: 0
9. Complexity: 742
10. Number of isotope atoms: 0
11. Determine the number of atomic stereocenters: 0
12. Uncertain number of atomic stereocenters: 0
13. Determine the number of chemical bond stereocenters: 0
14. Number of uncertain chemical bond stereocenters: 0
15. Number of covalent bond units: 1
Properties and stability
1. Sodium salt is soluble in water.
Storage method
This product should be kept sealed and dry.
Synthesis method
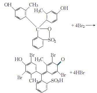
1. Suspended m-cresolsulfonyl phthalide in glacial acetic acid and reacted with bromine under heating.
2.Slowly add the acetic acid solution of m-cresol violet to the acetic acid solution of bromine while stirring, and control the temperature not to exceed 80°C :

Continuously stir and keep warm for several hours, cool, filter, wash the precipitate with acetic acid twice, and dry at 50-60°C. The dried crude product was recrystallized with glacial acetic acid.
Purpose
1. Used as an acid-base indicator, with a pH discoloration range of 3.8 (yellow) to 5.4 (blue-green). The sodium salt solution is used as a chromogenic reagent for spectrophotometric determination of H value.
2. Used as a reagent for the determination of aliphatic hydroxy acids and alkaloids by thin layer chromatography and for the determination of quaternary ammonium cations by photometry. Extraction separation agent.



微信扫一扫打赏
