
Structural formula
| Business number | 01CW |
|---|---|
| Molecular formula | C6H8N2O2S |
| Molecular weight | 172.21 |
| label |
p-Aminobenzenesulfonamide, dapsamide; dapsamide; sulfonamide, 4-Aminobenzene sulfonamide, p-Anilinesulfonamide, aromatic sulfur compounds |
Numbering system
CAS number:63-74-1
MDL number:MFCD00007939
EINECS number:200-563-4
RTECS number:WO8400000
BRN number:511852
PubChem number:24899829
Physical property data
1. Properties: White granules or powdery crystals, odorless and slightly bitter.
2. Density (g/mL, 25/4℃): 1.08
3. Relative vapor density (g/mL, air=1): Uncertain
4. Melting point (ºC): 165~166
5. Boiling point (ºC, normal pressure): Uncertain
6. Boiling point (ºC, 5.2kPa): Uncertain Confirm
7. Refractive index: Uncertain
8. Flash point (ºC): Uncertain
9. Specific rotation (º): Uncertain
10. Autoignition point or ignition temperature (ºC): Uncertain
11. Vapor pressure (kPa, 25ºC): Uncertain
12. Saturation Vapor pressure (kPa, 60ºC): Uncertain
13. Heat of combustion (KJ/mol): Uncertain
14. Critical temperature (ºC): Uncertain
15. Critical pressure (KPa): Uncertain
16. Log value of oil-water (octanol/water) partition coefficient: Uncertain
17. Explosion upper limit (% , V/V): Uncertain
18. Lower explosion limit (%, V/V): Uncertain
19. Solubility: Slightly soluble in cold water, ethanol, methanol, Ether and acetone are easily soluble in boiling water, glycerin, hydrochloric acid, potassium hydroxide and sodium hydroxide solution, but insoluble in chloroform, ether, benzene and petroleum ether.
Toxicological data
Acute toxicity:
Oral LD50 2000mg/kg(dog)
3130 mg/kg(guinea pig)
3000mg/kg(mus)
3900mg/kg(rat)
1300mg/kg(rbt)
Main irritant effects:
On skin: possible Causes irritation
On eyes: May cause irritation
Sensitization: No known sensitization
Ecological data
General remarks
Water hazard class 1 (German Regulation) (self-assessment via list) The substance is slightly hazardous to waterHarmful.
Do not allow undiluted or large amounts of product to come into contact with groundwater, waterways, or sewage systems
Do not discharge materials into the surrounding environment without government permission.
Molecular structure data
1. Molar refractive index: 42.80
2. Molar volume (cm3/mol): 120.6
3. Isotonic specific volume (90.2K ): 340.9
4. Surface tension (dyne/cm): 63.7
5. Polarizability (10-24cm3): 16.97
Compute chemical data
1. Reference value for hydrophobic parameter calculation (XlogP): None
2. Number of hydrogen bond donors: 2
3. Number of hydrogen bond acceptors: 4
4. Number of rotatable chemical bonds: 1
5. Number of tautomers: none
6. Topological molecule polar surface area 94.6
7. Number of heavy atoms: 11
8. Surface charge: 0
9. Complexity: 211
10. Number of isotope atoms: 0
11. Determine the number of atomic stereocenters: 0
12. Uncertain number of atomic stereocenters: 0
13. Determine the number of chemical bond stereocenters: 0
14. Number of uncertain chemical bond stereocenters: 0
15. Number of covalent bond units: 1
Properties and stability
Can be used as medicine to inhibit the growth and reproduction of bacteria. Taking large amounts of sulfonamides can lead to death due to an imbalance between absorption and excretion. Dog oral LD50: 2000mg/kg. Taking large amounts of sulfonamides in humans can cause side effects such as loss of appetite, nausea, vomiting, and diarrhea. It can also affect the liver and kidneys. It can also cause tinnitus, dizziness, headaches, and even various mental symptoms until death. Operators should wear protective equipment.
Storage method
1. Store in a cool, ventilated, dry place, protected from heat, sun and moisture. Store and transport according to general chemical regulations.
2. Use lined plastic bags and outer sacks, or lined plastic bags, middle layers of kraft paper bags, and outer fiber cloth bags for packaging. Generally 40kg per bag. Store in a cool, ventilated, dry place, protected from heat, sun and moisture. Store and transport according to general chemical regulations.
Synthesis method
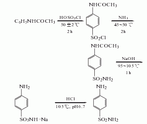
1. It is prepared from acetanilide through chlorosulfonation, amination, hydrolysis and neutralization.
Raw material consumption quota: acetanilide (99%) 1032kg/t, chlorosulfonic acid (96%) 4521kg/t, liquid ammonia (99.8%) 535kg/t,
Liquid alkali (30 %) 863kg/t.

Purpose
1. Used for the determination of nitrite. Biochemical research. Organic Synthesis. 2. This product is an important intermediate for sulfa drugs. This product has a strong antibacterial effect against hemolytic streptococci, meningitis, and cocci, but due to poor efficacy and high toxicity, it is rarely used for oral administration. External use as a spray or ointment can prevent and treat wound infections, but it can cause allergic reactions, so It is also rarely used. Now it is used as an intermediate for the synthesis of other sulfonamide drugs. It is also used as a raw material for the synthesis of agricultural “Huangcaoling” abroad. 3.Used as an analytical reagent, such as a reagent for the photometric determination of nitrite and sodium nitrosoferricyanide. Used in biochemical research, organic synthesis and pharmaceutical industry. 4. The main raw materials for synthesizing sulfonamide drugs are not only used to prepare crystalline sulfonamides for external anti-inflammatory use, but also can be used to synthesize other sulfonamide drugs such as sulfamidine, sulfamethoxazine, sulfamethoxine, etc.



微信扫一扫打赏
