Epoxy curing agent Knowledge Phenylalanine Phenylalanine

Phenylalanine Phenylalanine

广告位

Phenylalanine structural formula

Structural formula

Business number 01CZ
Molecular formula C9H11NO2
Molecular weight 165.19
label

(S)-2-Amino-3-phenylpropionic acid,

α-Amino-β-phenylpropionic acid,

(S)-2-Amino-3-phenylpropionic acid,

a-Amino-β-phenylpropionic,

(S)-(-)-Phenylalanine,

Aromatic nitrogen-containing compounds and their derivatives,

amino acid drugs,

intermediates,

Biochemical reagents

Numbering system

CAS number:63-91-2

MDL number:MFCD00064227

EINECS number:200-568-1

RTECS number:AY7535000

BRN number:1910408

PubChem number:24898274

Physical property data

1. Properties: colorless to white flaky crystals or white crystalline powder. Slightly special smell and bitter taste

2. Density (g/mL, 25/4℃): 1.201

3. Relative steam density (g/mL, air=1): Uncertain

4. Melting point (ºC): 283(dec.)(lit.)

5. Boiling point (ºC, normal pressure): Uncertain

6. Boiling point (ºC, 5.2kPa): Uncertain

7. Refractive index: -34 ° (C=2, H2O)

8. Flash point (ºC): Uncertain

9. Specific optical rotation (º): -34.1 º (c=2, water, dry basis)

10. Autoignition point or ignition temperature (ºC): Uncertain

11. Vapor pressure (kPa, 25ºC): Uncertain

12. Saturated vapor pressure (kPa, 60ºC): Uncertain

13. Heat of combustion (KJ/mol): Uncertain

14. Critical temperature (ºC): Uncertain

15. Critical pressure (KPa): Uncertain

16. Log value of oil-water (octanol/water) partition coefficient: Uncertain

17. Explosion upper limit (%, V/V): Uncertain

18. Explosion lower limit (%, V/V): Uncertain

19. Solubility: Soluble in water (3g/100ml, 25℃). Slightly soluble in ethanol, dilute inorganic acids and alkaline solutions.

Toxicological data

None yet

Ecological data

None yet

Molecular structure data

1. Molar refractive index: 45.49

2. Molar volume (cm3/mol): 137.4

3. Isotonic specific volume (90.2K ): 371.8

4. Surface tension (dyne/cm): 53.5

5.   Polarizability (10-24cm3): 18.03

Compute chemical data

1. Reference value for hydrophobic parameter calculation (XlogP): None

2. Number of hydrogen bond donors: 2

3. Number of hydrogen bond acceptors: 3

4. Number of rotatable chemical bonds: 3

5. Number of tautomers: none

6. Topological molecule polar surface area 63.3

7. Number of heavy atoms: 12

8. Surface charge: 0

9. Complexity: 153

10. Number of isotope atoms: 0

11. Determine the number of atomic stereocenters: 1

12. Uncertain number of atomic stereocenters: 0

13. Determine the number of chemical bond stereocenters: 0

14. Number of uncertain chemical bond stereocenters: 0

15. Number of covalent bond units: 1

Properties and stability

1. Soluble in water, slightly soluble in ethanol and ether. It has a slightly bitter taste, is stable in the air in a dry state, has levorotatory optical activity, and is one of the 8 essential amino acids for the human body.

 2. Harmful if inhaled, ingested or in contact. If this product is taken by mistake, and the person who takes it is conscious and does not experience convulsions, he can drink 1 to 2 glasses of water to dilute it and then send him to the hospital immediately. Protective equipment should be worn.

3. Exist in tobacco leaves and smoke .

Storage method

1. This product should be sealed and stored in a cool, dry place away from light.

2. Packed in paper drum, 25kg/drum. Keep away from strong oxidizing agents.

Synthesis method

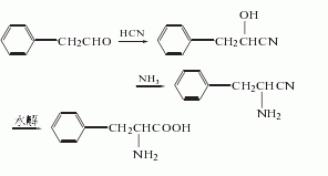
1. The yield of phenylalanine prepared by synthetic methods is low, and it is usually extracted from natural products. After hydrolyzing defatted soybeans with hydrochloric acid, the acidic amino acids are removed, and activated carbon or decolorizing resin is used to adsorb phenylalanine and tyrosine. Then, phenylalanine is dissolved and separated using a solvent. It is also possible to use the method of first converting phenylalanine in the hydrolyzate into 2,5-dibromobenzenesulfonate, and then using the difference in solubility to separate it from amino acids such as leucine and arginine.

2.After hydrolyzing defatted soybeans with hydrochloric acid, the acidic amino acids are removed, and activated carbon or decolorizing resin is used to absorb phenylalanine and tyrosine. Then use a solvent to dissolve and separate the phenylalanine.

3.Direct fermentation method

4. Tobacco: BU, 22; FC, 21.

Purpose

1. Biochemical research. Prepare culture medium. Nutritional research. 2.L-phenylalanine is one of the essential amino acids. Used as an ingredient in nutritional fortifiers, amino acid infusions and complex amino acid preparations. This product is the raw material for a variety of anti-cancer drugs and dipeptide sweeteners. 3.Amino acid drugs. It is used in amino acid infusions, comprehensive amino acid preparations and nutritional fortifiers, and is widely used in the synthesis of new sweetener aspartame (dipeptide methyl ester combined with L-aspartic acid and L-phenylalanine). 4. It is the main raw material for synthesizing aspartame.

广告位
This article is from the Internet, does not represent the position of Epoxy curing agent, reproduced please specify the source.https://www.dmp-30.vip/archives/84824

author:

Previous article
Next article
Contact Us

Contact us

+86 - 152 2121 6908

Online consultation: QQ交谈

E-mail: info@newtopchem.com

Working hours: Monday to Friday, 9:00-17:30, closed on holidays
Follow wechat
Scan wechat and follow us

Scan wechat and follow us

Follow Weibo
Back to top
Home
Phone
Products
Search