
Structural formula
| Business number | 0362 |
|---|---|
| Molecular formula | C12H26S |
| Molecular weight | 202.40 |
| label |
1-dodecanethiol, dodecanethiol, Dodecanethiol, n-dodecanethiol, dodecyl mercaptan, Dodecyl Mercaptan, Lauryl Mercaptan, molecular weight regulator, pesticides, Fungicide |
Numbering system
CAS number:112-55-0
MDL number:MFCD00004885
EINECS number:203-984-1
RTECS number:JR3155000
BRN number:969337
PubChem ID:None
Physical property data
1. Properties: water white to light yellow liquid with slight odor. [1]
2. Melting point (℃): -7.5[2]
3. Boiling point (℃): 260~268[3]
4. Relative density (water=1): 0.85[4]
5. Relative vapor density (air=1): 7.0[5]
6. Saturated vapor pressure (kPa): 0.33 (25℃)[6]
7. Critical pressure (MPa): 1.84[7]
8. Octanol/water partition coefficient: 6.18[8]
9. Flash point (℃): 128 (OC) [9]
10. Ignition temperature (℃): 197 [10]
11. Solubility: Insoluble in water, soluble in methanol, ether, acetone, benzene, and ethyl acetate. [11]
Toxicological data
1. Acute toxicity[12] LD50: 4225mg/kg (mouse oral)
2. Irritation No information yet
Ecological data
1. Ecotoxicity No data available
2. Biodegradability No data available
3 .Non-biodegradability No information available
4. Other harmful effects[13] This substance is harmful to the environment, so attention should be paid Pollution of the water environment and aquifers.
Molecular structure data
1. Molar refractive index: 65.53
2. Molar volume (cm3/mol): 240.6
3. Isotonic specific volume (90.2K ): 561.4
4. Surface tension (dyne/cm): 29.6
5. Polarizability (10-24cm3): 25.98
Compute chemical data
1. Reference value for hydrophobic parameter calculation (XlogP): None
2. Number of hydrogen bond donors: 1
3. Number of hydrogen bond acceptors: 1
4. Number of rotatable chemical bonds: 10
5. Number of tautomers: none
6. Topological molecule polar surface area 1
7. Number of heavy atoms: 13
8. Surface charge: 0
9. Complexity: 81.2
10. Number of isotope atoms: 0
11. Number of determined atomic stereocenters: 0
12. Number of uncertain atomic stereocenters: 0
13. Determined number of stereocenters of chemical bonds: 0
14. Uncertain number of stereocenters of chemical bonds: 0
15. Number of covalent bond units: 1
Properties and stability
1. Stability[14] Stable
2. Incompatible substances[15] Alkalis, strong oxidants, strong reducing agents, alkali metals
3. Conditions to avoid contact[16] Heating
4. Polymerization hazard[17] No polymerization
5. Decomposition products[18] Hydrogen sulfide, sulfide
Storage method
Storage Precautions[19] Store in a cool, ventilated warehouse. Keep away from fire and heat sources. Keep container tightly sealed. They should be stored separately from oxidants, reducing agents, alkalis, alkali metals, and food chemicals, and avoid mixed storage. Equipped with the appropriate variety and quantity of fire equipment. The storage area should be equipped with emergency release equipment and suitable containment materials.
Synthesis method
1. It can be prepared by the action of dodecanol vapor and hydrogen sulfide in the presence of a catalyst.
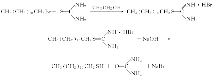
2. Add dodecane bromide, thiourea and 95% ethanol into the stirred reaction kettle, heat to reflux under stirring, react for 3 hours, evaporate the ethanol, recover it and recycle it. Then add 10% sodium hydroxide solution, heat to reflux, and stir for 2 hours. After cooling, let it stand for layering, and separate the oil layer to obtain the crude mercaptan. Add hydrochloric acid to the water layer to acidify it, then add benzene, stir for a period of time, and then let it stand. Combine the benzene layer with the crude mercaptan, wash it with water, dry it with anhydrous sodium sulfate, and then send it to the distillation device. After steaming out the benzene, perform vacuum distillation and collect the fraction at 5.2kPa and 165-169°C as the finished product.
3. Heat dodecyl bromide, thiourea and 95% ethanol to reflux reaction, then add sodium hydroxide solution and heat. After the reaction is completed, cool and let stand for layering. The oil layer is crude mercaptan. The crude product is washed, dried, distilled, and distilled under reduced pressure to become the finished product. 
Purpose
1. Used as a regulator in the emulsion polymerization of styrene-butadiene rubber. Also used in the manufacture of drugs, pesticides and fungicides.
2. It is used as a molecular weight regulator during the polymerization of synthetic rubber, synthetic fiber, and synthetic resin. It is also used as a stabilizer for polyvinyl chloride and as a raw material for bactericides and detergents.
3. Used in the synthesis of plastics, rubber and the manufacture of pharmaceuticals, insecticides, antifungal agents, detergents, etc. [20]



微信扫一扫打赏
