
Structural formula
| Business number | 03MB |
|---|---|
| Molecular formula | C10H8O3NSNa |
| Molecular weight | 245.23 |
| label |
Sodium 1-naphthylamine-4-sulfonate, tetrahydrate, 4-Amino-1-naphthalenesulfonic acid monosodium salt, 4-Amino-1-naphthalenesulfonate sodium salt, Sodium 1,4 acid, 1-Naphthylamine-4-sodium sulfonate, Sodium 4-amino-1-naphthalenesulfonate, aromatic sulfur compounds |
Numbering system
CAS number:130-13-2
MDL number:MFCD00044844
EINECS number:204-975-5
RTECS number:None
BRN number:None
PubChem ID:None
Physical property data
1. Properties: White to off-white flaky crystals. Slightly sweet.
2. Density (g/mL, 25℃): 1.6703
3. Solubility: Easily soluble in water, the aqueous solution shows blue fluorescence. Soluble in 95% ethanol, insoluble in ether, slightly soluble in concentrated caustic alkali solution and ethanol solution.
Toxicological data
None yet
Ecological data
None yet
Molecular structure data
None yet
Compute chemical data
1. Reference value for hydrophobic parameter calculation (XlogP):
2. Number of hydrogen bond donors: 1
3. Number of hydrogen bond acceptors: 4
4. Number of rotatable chemical bonds: 1
5. Number of tautomers:
6. Topological molecular polar surface area (TPSA): 83.2
7. Number of heavy atoms: 16
8. Surface charge: 0
9. Complexity: 327
10. Number of isotope atoms: 0
11. Determine the number of atomic stereocenters: 0
12. Uncertain number of atomic stereocenters: 0
13. Determine the number of chemical bond stereocenters : 0
14. Number of uncertain chemical bond stereocenters: 0
15. Number of covalent bond units: 2
Properties and stability
Toxic, can cause poisoning if inhaled, swallowed or absorbed through skin. During the production process, attention should be paid to protective measures, and good ventilation should be maintained at the production site. Operators should wear protective equipment.
Storage method
Packed in sack-lined plastic bags or double-layer plastic bags. 50kg per bag. Store in a cool, ventilated and dry place. Avoid breakage during transportation. During transportation, keep away from sunlight and moisture, and keep away from sources of fire. Store and transport according to regulations on toxic chemicals.
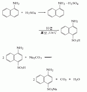
Synthesis method
Introduction to the production method
It is prepared from 1-naphthylamine-4-sulfonic acid and then neutralized with sodium carbonate.

Purpose
Mainly used to produce nivin acid, direct red dye, acid red dye and edible red pigment, such as acid red A, B, acid scarlet 3R, direct scarlet G, direct scarlet 4B, direct scarlet GB, direct scarlet B, Direct green 2GN, as well as dyes such as edible scarlet, edible carmine, edible bayberry, and edible amaranth. It is also used to prepare intermediates such as 1,4-naphthalenesulfonic acid. Also acts as an antidote to sulfite and iodine poisoning.



微信扫一扫打赏
