Epoxy curing agent Knowledge 2-Chloroanthraquinone 2-Chloroanthraquinone

2-Chloroanthraquinone 2-Chloroanthraquinone

广告位

2-chloroanthraquinone structural formula

Structural formula

Business number 03MR
Molecular formula C14H7ClO2
Molecular weight 242.66
label

2-Chloro-9,10-anthracenedione,

β-Chloroanthraquinone,

β-Chloroanthraquinone,

aromatic compounds

Numbering system

CAS number:131-09-9

MDL number:MFCD00001227

EINECS number:205-010-0

RTECS number:CB6151000

BRN number:2051842

PubChem number:24849604

Physical property data

1. Properties: light yellow needle-like crystals

2. Melting point (℃): 208~211

3. Solubility: soluble in alcohol, ether, hot benzene, Nitrobenzene, concentrated sulfuric acid, ethyl acetate, insoluble in water.

Toxicological data

1. Acute toxicity: Rat oral LD: >10gm/kg

Rat abdominal LD5O: 4310mg/kg

Mouse oral LD: >10gm/ kg

Ecological data

None yet

Molecular structure data

1. Molar refractive index: 63.56

2. Molar volume (cm3/mol): 171.0

3. Isotonic specific volume (90.2K ): 471.9

4. Surface tension (dyne/cm): 58.0

5. Polarizability (10-24cm3):25.19

Compute chemical data

1. Reference value for hydrophobic parameter calculation (XlogP): None

2. Number of hydrogen bond donors: 0

3. Number of hydrogen bond acceptors: 2

4. Number of rotatable chemical bonds: 0

5. Number of tautomers: none

6. Topological molecule polar surface area 34.1

7. Number of heavy atoms: 17

8. Surface charge: 0

9. Complexity: 352

10. Number of isotope atoms: 0

11. Determine the number of atomic stereocenters: 0

12. Uncertain number of atomic stereocenters: 0

13. Determine the number of chemical bond stereocenters: 0

14. Number of uncertain chemical bond stereocenters: 0

15. Number of covalent bond units: 1

Properties and stability

Low toxicity. Phthalic anhydride and chlorobenzene used in production are toxic, and fuming concentrated sulfuric acid is highly corrosive. Operators should wear labor protection equipment and maintain good ventilation in the workshop.

Storage method

Store in a dry and ventilated place, protected from sun and moisture. Store and transport in accordance with the general regulations for toxic chemicals.

Synthesis method

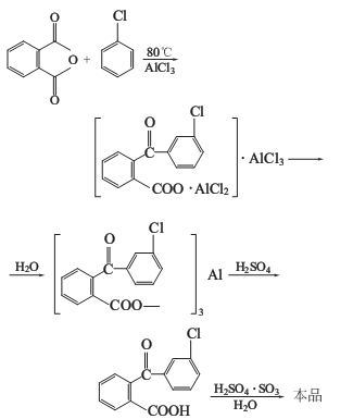
Phthalic anhydride and chlorobenzene react in the presence of anhydrous aluminum trichloride to obtain chlorobenzoyl aluminum benzoate double salt, which is hydrolyzed and acidified, and then smoked Sulfuric acid is dehydrated, loop closed, separated and filtered to obtain the finished product.


Purpose

Used as an important dye intermediate. It is mainly used to produce 2-aminoanthraquinone and further produce vat dyes, such as vat blue RSN, vat blue BC, etc. It can also be used to make alizarin.

广告位
This article is from the Internet, does not represent the position of Epoxy curing agent, reproduced please specify the source.https://www.dmp-30.vip/archives/93203

author:

Previous article
Next article
Contact Us

Contact us

+86 - 152 2121 6908

Online consultation: QQ交谈

E-mail: info@newtopchem.com

Working hours: Monday to Friday, 9:00-17:30, closed on holidays
Follow wechat
Scan wechat and follow us

Scan wechat and follow us

Follow Weibo
Back to top
Home
Phone
Products
Search