Latest article

Application and preparation of bisphenol A diglycidyl ether_Kain Industrial Additive
Background and overview[1][2] Bisphenol A diglycidyl et…

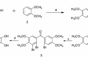
Application of photoinitiator 369_Kain Industrial Additive
Background and overview[1][2] Photoinitiator (PI) is a …

Application of 4-fluorophenylboronic acid in organic synthesis_Kain Industrial Additive
Background and Overview 4-Fluorophenylboronic acid is a…

Preparation method and application of phenylmagnesium bromide_Kain Industrial Additive
Background and Overview Phenylmagnesium bromide is an o…

Preparation of o-methylbenzonitrile and its application in organic synthesis_Kain Industrial Additive
Background and overview[1][2] O-methylbenzonitrile and …

Application of 1,3,5-Trifluorobenzene_Kain Industrial Additive
Background and overview[1][2] In the field of chemical …

Research on the synthesis process of p-methoxybenzoic acid in microchannel_Kain Industrial Additive
Overview P-Methoxybenzoic acid, also known as 4-anisic …

Synthesis method of 1,2,4-trimethylbenzene and its application examples_Kain Industrial Additive
Background and overview[1][2][3][4] 1,2,4-Trityl is a h…

Synthesis method of 3-chlorotoluene and its application in organic synthesis_Kain Industrial Additive
Background and overview[1] 3-Chlorotoluene, also called…

Phthalate_Kain Industrial Additive
Background and overview[1] Phthalate, also known as ver…