Latest article
Preparation of o-methylbenzonitrile and its application in organic synthesis_Kain Industrial Additive
Background and overview[1][2] O-methylbenzonitrile and …
Application of 1,3,5-Trifluorobenzene_Kain Industrial Additive
Background and overview[1][2] In the field of chemical …
Research on the synthesis process of p-methoxybenzoic acid in microchannel_Kain Industrial Additive
Overview P-Methoxybenzoic acid, also known as 4-anisic …
Synthesis method of 1,2,4-trimethylbenzene and its application examples_Kain Industrial Additive
Background and overview[1][2][3][4] 1,2,4-Trityl is a h…
Synthesis method of 3-chlorotoluene and its application in organic synthesis_Kain Industrial Additive
Background and overview[1] 3-Chlorotoluene, also called…
Phthalate_Kain Industrial Additive
Background and overview[1] Phthalate, also known as ver…
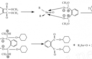
Synthesis method of dicyclohexyl phthalate and its application in chemical industry_Kain Industrial Additive
Background and overview[1][2][3] Dicyclohexyl phthalate…
Phenylalanine dehydrogenase_Kain Industrial Additives
Background and overview[1-3] Phenylalanine dehydrogenas…
Preparation method and application prospects of terephthaloyl chloride_Kain Industrial Additive
Terephthaloyl chloride is an ancient compound that was …
[Kain Iron Army] will comprehensively promote the development of the chemical industry Internet platform
The rapid development of the industrial Internet is giv…

